مقدمه
مولکول گلیسیرین (Glycerine) از اتم های کربن، اکسیژن و هیدروژن با فرمول شیمیایی C3H5(OH)3، تشکیل شده است. ازنظر فیزیکی، گلیسیرین مایعی محلول در آب، شفاف، تقریباً بیرنگ، بدون بو، ویسکوز، جاذب رطوبت (توانایی جذب رطوبت از هوا و نگه داشتن آن که یکی از ارزشمندترین خواص گلیسیرین است) با نقطهجوش بالا است. از نظر شیمیایی، گلیسیرین یک الکل با سه گروه عاملی هیدروکسیل است که در اکثر شرایط پایدار است. از نظر ساختاری، گلیسیرین دارای دو گروه هیدروکسیل نوع اول و یک گروه هیدروکسیل نوع دوم است که گروههای هیدروکسیل نوع اول به طور کلی واکنش پذیری بیشتری نسبت به گروه هیدروکسیل نوع دوم دارد. گلیسیرین در سیستم گوارش عملاً غیر سمی است و تحریککننده پوست نمی باشد، مگر در غلظتهای بسیار زیاد که اثر کمبود آب در بدن مشاهده میشود.


تاریخچه
گلیسیرین در سال ۱۷۷۹ توسط کارل شیل (Carl Scheele) شیمی دان سوئدی-آلمانی کشف شد. میشل اوژن شورول (Michelle Eugene Chevrolet) در سال ۱۸۲۳ روش جدیدی برای تولید اسید چرب را ارائه کرد، که علاوه بر اسید چرب، گلیسیرین به عنوان محصول جانبی حاصل گردید. سیزده سال بعد فرمول شیمیایی گلیسیرین توسط دانشمندی فرانسوی به نام تئوفیل جولز پلوئز (Theophile Jules Ploise) به صورت تجربی، C3H8O3 پیشنهاد شد و امروزه فرمول شیمیایی آن، C3H5(OH)3 می باشد.
آلفرد نوبل (Alfred Nobel) در سال ۱۸۶۶ با تولید نیتروگلیسیرین حاصل از واکنش گلیسیرین و نیتریک اسید در حضور سولفوریک اسید به عنوان کاتالیزور همانطور که در شکل 1 نشان داده شده است و استفاده از آن در دینامیت با قدرت انفجاری بسیار بالا، گلیسیرین را به مادهای با ارزش در تجارت جهانی به خصوص تجارت تسلیحاتی تبدیل کرد.
شکل 1- مکانیسم تهیه نیتروگلیسیرین از واکنش بین گلیسیرین و نیتریک اسید
کاربرد گلیسیرین
در حال حاضر، گلیسیرین عمدتاً بهعنوان ماده شیمیایی واسطهای برای تولید محصولات گوناگونی مانند مواد آرایشی، غذایی، دارویی، صنعتی و غیره استفاده میشود.
در ادامه به برخی از کاربردهای گلیسیرین به طور مجزا پرداخته شده است:
-
غذا و نوشیدنی
در غذاها و نوشیدنیها، گلیسیرین بهعنوان یک ماده مرطوبکننده، حلال، شیرینکننده و نگهدارنده عمل میکند.
-
دارو
گلیسیرین یکی از پرکاربردترین مواد در داروسازی است. این ماده بهعنوان یک حلال، مرطوبکننده، همچنین در کپسولهای دارویی بهعنوان نرمکننده مورد استفاده قرار می گیرد. سایر کاربردهای معروف عبارتاند از شیاف، داروهای ضد عفونت گوش، داروهای بیهوشی، داروهای ضد سرفه و ضدعفونیکنندهها.
-
لوازم آرایشی و بهداشتی
گلیسیرین به طور گستردهای در لوازم آرایشی و مواد بهداشتی مورد استفاده قرار می گیرد. غیر سمی و بدون بو است. درواقع به عنوان مادهای مرطوبکننده و نرمکننده عمل میکند و یکی از اصلیترین مواد تشکیلدهنده خمیردندان است که از خشک شدن آن جلوگیری میکند. همچنین به عنوان امولسیون کننده در کرمها و لوسیونها و به عنوان جایگزین مومهای موجود در رژ لب، ریمل و سایر امولسیونهای غیر چرب استفاده میشود.
-
تنباکو
گلیسیرین به میزان 3٪ توتون را مرطوب و نرم نگه میدارد و از شکستن و خرد شدن آن در حین فرآوری جلوگیری می کند و باعث تازه ماندن سیگارهای بستهبندیشده و سایر محصولات تنباکو می گردد. تری استات گلیسیرین به عنوان نرمکننده استات سلولز در ساخت نوک فیلترهای سیگار مورد استفاده قرار میگیرد.
-
رزینهای پوشش سطحی
آلکیدها دسته مهمی از رزینها هستند که در پوششهای سطحی استفاده میشوند. گلیسیرین، به دلیل قابلیت انعطافپذیری شیمیایی و مزایای فرآیند، یک جز استاندارد در ساخت این رزینها می باشد. رزینهای آلکیدی تولید شده از گلیسیرین ممکن است به راحتی اصلاح شوند تا طیف گستردهای از کاربردهای پوشش را برآورده سازند.
یکی از مهمترین رزین های موجود در طبیعت رزین روزین (کلوفان) می باشد که به نوبه خود اسیدی بوده و مقاومت در برابر آب پایینی دارد، بدین منظور به کمک گلیسیرین، استری حاصل می شود که در برابر آب مقاوم است.
-
لاستیک و پلاستیک
عملکرد روغنکاری گلیسیرین بر روی لاستیک، کاربرد اصلی گلیسیرین در صنعت لاستیک است. در صنعت پلاستیک، گلیسیرین به عنوان نرمکننده و روان کننده مورد استفاده قرار می گیرد.
روش های تولید گلیسیرین
گلیسیرین با روشهای زیر تولید شود:
- هیدرولیز روغن تری گلیسیرید
- ترنس استریفیکاسیون روغن گلیسیرید
- تهیه گلیسیرین بهوسیله پروپیلن
-
هیدرولیز روغن تری گلیسیرید
مکانیسم واکنش بین روغن تری گلیسیرید و سدیم هیدروکسید که منجر به تولید صابون و گلیسرین میشود در شکل 2 نمایش داده شده است:
شکل2- واکنش هیدرولیز تری گلیسرید در حضور سدیم هیدروکسید جهت تولید گلیسیرین
-
ترنس استریفیکاسیون روغن تری گلیسیرید
در سال 1864 گلیسیرین از واکنش ترنس استریفیکاسیون روغن تری گلیسیرید با اتانول، توسط روچیدر ( Rochieder ) به دست آمد. واکنش ترنس استریفیکاسیون روغن تری گلیسیرید با اتانول یا متانول در حضور کاتالیزورهای همگن یا ناهمگن اسیدی یا بازی از قبیل سدیم هیدروکسید، پتاسیم هیدروکسید، کلسیم اکسید، منیزیم اکسید، سولفوریک اسید، هیدروکلریک اسید، اکسید قلع و غیره منجر به تولید گلیسیرین میشود. مکانیسم واکنش در شکل 3 نمایش داده شده است.
گلیسیرین حاصل از ترانس استریفیکاسیون یا هیدرولیز روغن تری گلیسیرید، ناخالص بوده که با تقطیر و خالص سازی به خلوص 95 تا 99 درصد می رسد که به عنوان گرید تجاری و خلوص بیش از 99.75 درصد به عنوان گرید پزشکی تهیه می-شود.
شکل 3- واکنش ترنس استریفیکاسیون تری گلیسرید در حضور متانول جهت تولید گلیسیرین
-
تهیه گلیسیرین بهوسیله پروپیلن
چندین راه برای به دست آمدن گلیسیرین از پروپیلن وجود دارد که شامل دو مسیر استفاده از کلر و اکسیژن میباشد.
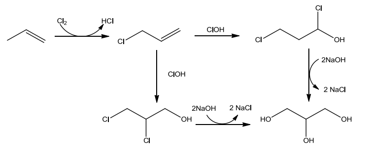
یکی از دو روش ترسیمشده در الگوریتم شکل 4، کلرینه کردن پروپیلن در دمای C° 510، آلیل کلراید به سرعت در مقادیری بیش از 85 درصد تئوری تولید میشود. اصلاح آلیل کلراید بهوسیله اسید هیپو کلرو در دمای C° 38 منجر به تولید گلیسیرین دی کلرو هیدرین میشود که توسط سدیم هیدروکسید محلول در 6% سدیم کربنات در C° 96 هیدرولیز و گلیسیرین با خلوص بیش از 90 درصد حاصل میشود که مکانیسم آن در شکل 5 نمایش داده شده است.
شکل 4- الگوریتم تولید گلیسیرین بوسیله پروپیلن
شکل 5- مکانیسم تولید گلیسیرین به روش کلرینه کردن پروپیلن
گلیسیرین به عنوان ماده ای ارزشمند جهت استفاده در آلکید رزین ها، صنایع لاستیک و پلاستیک، مواد شوینده و غیره با خلوص 98% در شرکت رزیتان تهیه و تولید می شود.